คณิตศาสตร์
-
Hits27645ให้คะแนนAverage rating
-
Hits32337ให้คะแนนAverage rating
-
จำนวนเฉพาะแห่งปี 2016 ...
จำนวนเฉพาะแห่งปี 2016 กับการค้นหาไร้ที่สิ้นสุด ก่อนอื่นเลยคิดว่าหลายคนคงทราบกันดีว่า ...
Hits98666ให้คะแนนAverage rating -
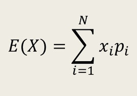
Expectation : ค่าคาดหวัง
Expectation : ค่าคาดหวัง ในโลกเรานี้มีสถานการณ์หลายๆอย่าง ที่สามารถเกิดขึ้นได้หลายๆแบบ ...
Hits135472ให้คะแนนAverage rating -
เลขฐานคณิตศาสตร์ ...
เลขฐานคณิตศาสตร์ กับการเอาชีวิตรอดบนดาวอังคาร (The Martian) The Martian ภาพยนตร์แนว ...
Hits41170ให้คะแนนAverage rating -
Hits55569ให้คะแนนAverage rating
-
ลำดับการดำเนินการทางคณิตศาสตร์ บวก ลบ คูณ ...
ลำดับการดำเนินการทางคณิตศาสตร์ บวก ลบ คูณ หาร .. เริ่มอะไรก่อนดี ?? (Order of Operations ...
Hits1445293ให้คะแนนAverage rating -
สืบจากการ์ตูนโคนัน Holmes และ CSI (ตอนที่2) ...
สืบจากการ์ตูนโคนัน Holmes และ CSI (ตอนที่2) การให้เหตุผลแบบ Abductive ...
Hits35757ให้คะแนนAverage rating -
ถอดประวัติ..ถอดรหัส "อลัน ทูริง" [The ...
ถอดประวัติ..ถอดรหัส "อลัน ทูริง" นักคณิตศาสตร์ นักชีววิทยา นักตรรกศาสตร์ นักรหัสวิทยา ...
Hits53548ให้คะแนนAverage rating -
รหัสมอร์ส (Morse code) ...
見捨てろ? ・ ・– –・– – – –・–・–・– –・–・– 助けるな?–・– – –・– –・– – –・– –・ ・– ・ ทิ้งผมไว้ ไม่ต้องช่วย ...
Hits145980ให้คะแนนAverage rating -
ฝนตกแล้ว จะวิ่งหรือเดินหลบฝนดี?
และแล้วก็ถึงฤดูฝน... นี่คือคำพูดที่นึกถึงอยู่ในใจตลอดเวลา นับตั้งแต่ฝนเริ่มตกครั้งแรกๆ ...
Hits38676ให้คะแนนAverage rating -
การเรียนคณิตศาสตร์แนว Why จากแดนโสม
การเรียนคณิตศาสตร์แนว Why จากแดนโสม ในสวนสัตว์มียีราฟและนกยูงรวมกัน 25 ตัว นับขาได้ 68 ...
Hits44684ให้คะแนนAverage rating
