คณิตศาสตร์ใกล้ตัว : ลำดับเรขาคณิต กับ ดอกเบี้ยธนาคาร ( ตอนแรก ) !!!
คณิตศาสตร์ใกล้ตัว : ลำดับเรขาคณิต กับ ดอกเบี้ยธนาคาร ( ตอนแรก ) !!!
ลำดับเลขคณิต และลำดับเรขาคณิต เป็นหัวข้อที่ปัจจุบันประเทศเราได้บรรจุเป็นหลักสูตรการเรียนรู้ในระดับมัธยมศึกษาตอนปลาย หลายคนมองว่าคณิตศาสตร์เป็นเรื่องไกลตัว หรืออาจมองว่า คณิตศาสตร์ ระดับสูงนั้น ไม่เห็นสามารถใช้ได้ในชีวิตจริงแต่อย่างใด…
“แต่ถ้าวันหนึ่ง คุณได้ไปกู้ธนาคาร 1 ล้านบาท ดอกเบี้ย 6.5% และต้องผ่อนทุกเดือนเป็นระยะเวลา 20 ปี คุณคิดว่า จำนวนเงินจริงๆทั้งหมดที่คุณต้องจ่ายคืนเท่าไหร่ ???”
เมื่อถามคำถามนี้กับคนทั่วไปมักจะมีแนวคิดว่า ต้องจ่ายเงินต้น 1 ล้านบาท + เงินดอกเบี้ย 6.5% รวมแล้วประมาณ 1.065 ล้านบาท … แต่หากคนที่เข้าใจแก่นแท้ของลำดับเรขาคณิต เขาสามารถตอบคุณได้ทันทีว่า คุณต้องจ่ายรวมทั้งสิ้น ประมาณ 1.7 – 1.8 ล้านบาท!!!!!! ดอกเบี้ย 6 หมื่นบาท กับดอกเบี้ย 7 แสน ดอกเบี้ยมากกว่าที่คนทั่วไปคาดเดาถึง 10 เท่า !!! คราวนี้ความจำเป็นของความรู้คณิตศาสตร์ คงกลายเป็นสิ่งที่มีประโยชน์ต่อการตัดสินใจอย่างหลีกเลี่ยงไม่ได้
ซึ่งอันที่จริงแล้ว ตัวเลข 1.7 ล้านนี้ สามารถหาได้ง่ายๆจากความรู้ในเรื่อง ลำดับเรขาคณิต ที่เราได้เรียนกันในระดับมัธยมปลายนั้นเอง
ก่อนจะไปดูว่า ธนาคารมีการนำลำดับเรขาคณิตมาใช้อย่างไร เรามาทำความเข้าใจกันก่อนว่าลำดับเรขาคณิตคืออะไรกันแน่
ลำดับเรขาคณิต ( Geometric Sequence)
เป็นลำดับของตัวเลขที่มีอัตราส่วนร่วม (Common ratio ) คงที่ หรือ อัตราส่วนระหว่างพจน์ที่ n+1 ใดๆ กับพจน์ที่ n มีค่าคงที่เสมอ
เช่น 1 , 3 , 9 , 27 , 81 … ข้อมูลชุดนี้เกิดจากการคูณ 3 เข้าไปเรื่อยๆ
ดังนั้นจึงเป็นลำดับเรขาคณิต ที่มีอัตราส่วนร่วม = 3
รูปทั่วไป
ให้ a1 a2 a3 a4 … an เป็นชัดข้อมูลๆ หนึ่งในชำดับเรขาคณิต โดยมีทั้งหมด n จำนวน
โดย a1 เป็นพจน์ที่ 1 ของลำดับเรขาคณิต
และ an เป็นพจน์ลำดับที่ n ใดๆ ของลำดับเรขาคณิต
จากนิยามที่ว่า อัตราส่วนร่วมระหว่างพจน์ที่ติดกันมีค่าคงที่เสมอ ดังนั้น อัตราส่วนร่วม r = an+1 / an
หากเขียนแต่ละพจน์ออกมาให้ชัดเจนยิ่งขึ้น
ได้ a1 = a1
a2 = a1r
a3 = a2r = a1r2
a4 = a3r = a2r2 = a1r3
ได้ความสัมพันธ์ว่า an = a1rn-1
ดังนั้น หากเขียนลำดับเรขาคณิต ในรูปของอัตราส่วนร่วม จะได้ว่า
{a1 , a2 , a3 , … an} = {a1 , a1r , a1r2 ,… a1rn-1 }

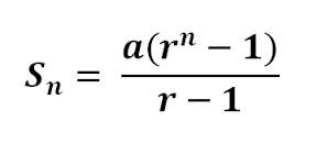
ผลอนุกรมของลำดับเรขาคณิต
ให้ Sn คือผลรวมของลำดับเรขาคณิตทั้งหมด n พจน์
ได้ว่า sn = a1 + a2 + a3 + … + an
= a1 + a1r + a1r2 +… +a1rn-1 …(1)
พิจารณา rSn = a1r + a1r2 + a1r3 +… +a1rn …(2)
แก้สมการหาค่า Sn
โดย (1) – (2) ได้ Sn – rSn = a1 - a1rn
(1 – r)Sn = a1(1 – rn)
ดังนั้น Sn = a1 + a1r + a1r2 +… +a1rn-1 = a1(1 – rn)/ (1 – r)

นอกจากนี้ หากค่า r < 1 จะได้ว่า ค่าของ rn เมื่อ n มีค่าเจ้าใกล้ infinity ( ∞ )
เราจะได้ Sn = a1 /(1 – r) เมื่อ n à ∞
ความรู้เพิ่มเติม : ในบางลำดับที่หากมองดูเฉยๆ อาจไม่ทราบว่าเป็นลำดับเรขาคณิต แต่ในความเป็นจริงแล้ว ก็สามารถใช้หลักการเดียวกับการหาผลรวมของลำดับเรขาคณิตในการแก้สมการได้ เช่น
จงหาค่า A เมื่อ A = 1 + 22X1 + 32X2 + 42X3 + … …(0) โดยที่ X < 1
พิจารณา XA = X + 22X2 + 32X3 + 42X4 + …
ได้ A – XA = 1 + (22 – 1) X + (32 – 22) X2 + (42 – 32) X3 +…
(1-X)A = 1 + 3X + 5X2 + 7X3 +… …(1)
พิจารณา X(1-X)A = X + 3X2 + 5X3 + 7X4 + … …(2)
(2) – (1) (1-X)A - X(1-X)A = 1 + 2X + 2X2 + 2X3 +…
ได้ (1-X)2A = 1 + 2X(1 + X + X2 +…)
เมื่อ X < 1 ได้ (1-X)2A = 1 + 2X/(1-X)
A = 1/(1-X)2 + 2X/(1-X)3 เป็นต้น
คราวนี้ เมื่อเข้าใจหลักการและวิธีการคำนวณของลำดับเรขาคณิตแล้ว เราก็จะสามารถคิดคำนวณการเก็บดอกเบี้ยจริงๆ ที่เกิดขึ้นจากการกู้เงินจากธนาคารได้ โดยสามารถดูหลักการของธนาคาร ในบทความ “คณิตศาสตร์ใกล้ตัว : ลำดับเรขาคณิต กับ ดอกเบี้ยธนาคาร ( ตอนจบ )”
เนื้อหาโดย : ธัชชัย ตระกูลเลิศยศ
ภาพจาก
http://blog.ed.gov/2012/10/five-things-to-know-about-your-student-loans/
http://alzarschool.org/viral-video-games-create-math-problems/
https://adirukmananda.wordpress.com/
