Niels Abel นักคณิตศาสตร์ผู้ยิ่งใหญ่ที่สุดของนอร์เวย์
ถ้า Niels Abel มิได้เสียชีวิตด้วยวัณโรคในวัย 26 ปี เขาอาจจะเป็นนักคณิตศาสตร์ผู้ยิ่งใหญ่ที่สุดแห่งคริสต์ศตวรรษที่ 19 ก็ได้ ทั้ง ๆ ที่มีอายุน้อย และมีประสบการณ์วิจัยไม่มากแต่ Abel ก็สามารถพิสูจน์ได้ว่าสมการกำลัง 5 (quintic equation) เช่น ax5 +bx4 + cx3 + dx2 + ex + f = 0 เมื่อ a, b, c, d, e และ f เป็นจำนวนใด ๆ ก็ได้ ไม่มีคำตอบของ x ที่เป็นสูตรสำเร็จ สมดังที่นักคณิตศาสตร์รุ่นก่อน Abel ได้พยายามค้นหามานานร่วม 250 ปี และหาไม่ได้

Niels Abel
Niels Henrik Abel เกิดเมื่อวันที่ 5 สิงหาคม ค.ศ.1802 (ตรงกับรัชสมัยสมเด็จพระพุทธยอดฟ้าจุฬาโลกมหาราช) ที่หมู่บ้านเล็ก ๆ บนเกาะ Finnoy ซึ่งตั้งอยู่ทางทิศตะวันตกเฉียงใต้ของเมือง Stavanger ในนอร์เวย์ บิดา Soren George Abel มีอาชีพเป็นนักบวชนิกาย Lutheran ส่วนมารดา Anne Marie Simonson เป็นบุตรสาวของพ่อค้าที่มีฐานะดี ครอบครัว Abel มีลูก 7 คน และ Niels เป็นลูกคนที่ 2
เมื่อ Abel อายุ 2 ขวบ บิดาได้อพยพครอบครัวไปทำงานที่เมือง Gaustad (หนังสือบางเล่มเขียนเป็น Gjerstad - บก.) ครั้นถึงวัยต้องเข้าโรงเรียน Abel กับพี่น้องทุกคนได้เรียนหนังสือกับบิดา ซึ่งนอกจากจะมีการศึกษาดีพอสมควรแล้วยังเป็นนักเคลื่อนไหวในสภาผู้แทนราษฎร ในการต่อสู้กอบกู้เอกราชของนอร์เวย์จากสวีเดนด้วย
ในปี ค.ศ. 1815 Abel วัย 13 ปี กับพี่ชายถูกบิดาส่งตัวไปเรียนหนังสือที่ Cathedral School ในกรุงออสโล ซึ่งเป็นโรงเรียนที่ดีที่สุดของประเทศ แต่ในปีการศึกษาที่ Abel เข้าเรียนนั้น บรรดาครูดี ๆ ของโรงเรียนหลายคนได้ลาออก และครูที่บรรจุใหม่นอกจากสอนหนังสือไม่เก่งแล้ว ยังเข้มงวดด้านระเบียบวินัยมากด้วย บรรยากาศการเรียนที่เลวร้ายนี้ ทำให้การเรียนของ Abel ตกต่ำ และพี่ชายของ Abel มีอาการซึมเศร้า ประจวบกับในช่วงเวลานั้น ครอบครัว Abel มีปัญหามากมาย เพราะทั้งบิดามารดาเป็นโรคพิษสุราเรื้อรังและทำธุรกิจล้มเหลว ความกดดันทั้งหลายนี้ได้ทำให้พี่ชายของ Abel ต้องลาออกจากโรงเรียนเพื่อกลับบ้านเกิดและไม่กลับไปเรียนต่ออีกเลย
สถานการณ์การเรียนการสอนที่โรงเรียน Cathedral ยิ่งเริ่มตึงเครียดมากขึ้น เมื่อโรงเรียนจ้างอาจารย์ใหม่ชื่อ Roald Bader มาสอนคณิตศาสตร์ ตามปกติ Bader เป็นครูที่มีอารมณ์รุนแรง เวลานักเรียนคนใดแก้โจทย์คณิตศาสตร์ไม่ได้ ก็จะถูก Bader เอาไม้เรียวฟาด จนมีครั้งหนึ่งที่เด็กคนหนึ่งเสียชีวิตเหตุการณ์นี้ทำให้ Bader ถูกไล่ออก และทางโรงเรียนได้จ้างครูใหม่มาแทนชื่อ Bernt Michael Holmbe เมื่อ Abel ได้เรียนกับครูคนนี้ วิถีชีวิตของ Abel ก็เริ่มเปลี่ยนไปในทางที่ดีขึ้น เพราะ Holmbe มีนิสัยใจคอที่แตกต่างจาก Bader ราวฟ้ากับดิน
Holmbe มีอายุมากกว่า Abel เพียง 7 ปี การมีวัยไล่เลี่ยกันทำให้ Holmbe สามารถรับรู้ความรู้สึกและวิธีคิดของ Abel ได้ดี หลังจากที่เป็นอาจารย์สอนคณิตศาสตร์ให้ Abel ได้ไม่นาน Holmbe ก็พบว่าลูกศิษย์คนนี้มีความสามารถระดับ “ไม่ธรรมดา”
ในเบื้องต้น Holmbe ได้ให้ Abel แสดงความสามารถในการแก้โจทย์ที่ค่อนข้างยาก และพบว่า Abel ส่งคำตอบโดยใช้เวลาไม่นาน Holmbe จึงจัดหาตำราคณิตศาสตร์ระดับมหาวิทยาลัยมาให้ Abel อ่าน และ Abel ก็สามารถเข้าใจและทำโจทย์ในตอนท้ายบทเรียนได้หมดอีก ครูกับศิษย์จึงร่วมกันศึกษางานวิจัยของนักคณิตศาสตร์ที่มีชื่อเสียงระดับโลก เช่น Leonhard Euler, Joseph-Louis Lagrange และ Pierre Simon Laplace และก็ได้ประจักษ์ว่าเมื่อสิ่งที่ศึกษายากขึ้น บทบาทของคนทั้งสองก็ต้องสลับกัน คือ Abel ได้กลายเป็นครู และ Holmbe ได้กลายเป็นศิษย์
สำหรับตัว Abel นั้นได้พบว่า เมื่ออ่านตำราและงานวิจัยมากขึ้น ก็ยิ่งรู้สึกรักวิชาคณิตศาสตร์มากขึ้นด้วย จนทำให้ตัดสินใจได้ในที่สุดว่า นี่คือชีวิตที่ตนต้องการ ดังนั้นเมื่อสำเร็จการศึกษาจากโรงเรียนในวัยเพียง 19 ปี Abel ก็รู้คณิตศาสตร์มากจนสามารถเริ่มทำงานวิจัยของตนเองได้
ในขณะที่ชีวิตเรียนดำเนินไปได้ด้วยดีนี้ ชีวิตครอบครัวของ Abel ก็กำลังเลวร้ายลง เพราะบิดาติดสุราอย่างรุนแรง จึงมีอาการเมาบ่อย ๆ จนได้ชกต่อยทะเลาะวิวาทกับเพื่อนที่เป็นสมาชิกสภาผู้แทนราษฎร จนเป็นที่เอือมระอา และสาปแช่งของผู้แทนทุกคน ทำให้ต้องลาออกจากสมาชิกสภาพของ ส.ส. และได้เสียชีวิตลงในเวลาต่อมา Abel จึงต้องรับภาระดูแลมารดาและครอบครัวต่อไป
หลังจากที่สำเร็จการศึกษาในระดับมัธยมศึกษา Abel ได้วางแผนเรียนต่อในมหาวิทยาลัย เพราะรู้ดีว่าถ้าได้ปริญญา จะสามารถหาเงินเลี้ยงครอบครัวได้ดีขึ้น จึงพยายามหาเงินสำหรับเสียค่าเล่าเรียนในมหาวิทยาลัยโดยรับงานสอนพิเศษ
ครั้นถึงเวลาที่ Abel ไปสมัครเรียนที่มหาวิทยาลัย Oslo โดยมี Holmbe อาสาเป็นคนเขียนจดหมายรับรองให้ ในทำนองว่า Abel เป็นผู้ที่มีพรสวรรค์ด้านคณิตศาสตร์ถึงระดับอัจฉริยะ ทางมหาวิทยาลัยจึงตกลงรับ Abel เข้าเป็นนิสิต และจัดให้พักในหอพักของมหาวิทยาลัยโดยไม่เสียค่าใช้จ่ายใด ๆ นอกจากนี้ อาจารย์มหาวิทยาลัยบางคนยังได้มอบเงินบางส่วนเป็นค่าใช้จ่ายส่วนตัวให้ Abel ด้วย
ถึงหลักสูตรคณิตศาสตร์ที่ใช้สอนที่มหาวิทยาลัยจะไม่สูงมาก แต่ Abel ก็ไม่รู้สึกเหงา เพราะสามารถทำงานวิจัยได้ด้วยตนเองอยู่แล้ว จึงพยายามสานต่องานวิจัยที่เคยทำในสมัยเรียนที่ Cathedral School ซึ่งเป็นโจทย์ปริศนาที่นักคณิตศาสตร์ตั้งแต่คริสต์ศตวรรษที่ 16 ได้เคยพยายามแก้มาแล้ว นั่นคือ การหาวิธีถอดสมการกำลัง 5 เมื่อเวลาผ่านไปไม่นาน Abel ก็คิดว่า เขารู้วิธีแก้ปัญหาแล้ว จึงเรียบเรียงวิธีพิสูจน์เพื่อส่งไปให้ Holmbe อ่าน แต่ Holmbe อ่านแล้วไม่เข้าใจ Ferdinand Degen ผู้เป็นนักคณิตศาสตร์ชาวเดนมาร์กอ่าน ซึ่งก็ไม่เข้าใจวิธีการที่ Abel ใช้ในการพิสูจน์อีก Degen จึงขอให้ Abel ยกตัวอย่างประกอบ แต่เมื่อ Abel พยายามยกตัวอย่าง เขาก็ได้พบว่าสูตรที่ได้มานั้นไม่ถูกต้อง
ลุถึงปี ค.ศ. 1823 หลังจากที่ได้เพียรพยายามมานาน และได้ตรวจสอบวิธีคิดเดิมอย่างรอบคอบ Abel ก็พบว่า สูตรที่เป็นคำตอบของสมการกำลัง 5 หรือสูงกว่าคือกำลัง 6, 7, 8,.. ไม่มีในการเผยแพร่ องค์ความรู้ที่พบ Abel จะต้องส่งผลงานของเขาไปตีพิมพ์ และต้องจ่ายเงินตามปริมาณงานที่เขียน เพราะ Abel มีฐานะยากจน ดังนั้นจึงต้องเขียนผลงานอย่างสั้น ๆ โดยไม่แจงรายละเอียดมาก เพราะถ้ารายงานที่ยาวผู้เขียนก็จะต้องจ่ายเงินมาก ผลกระทบที่เกิดตามมาคือ ถ้าบทความสั้น คนอ่านจะอ่านไม่รู้เรื่อง ด้วยเหตุนี้ งานวิจัยของ Abel ฉบับนั้น จึงไม่มีใครสนใจ

ลายมือต้นฉบับงานวิจัยของ Abel
ในปี ค.ศ. 1825 Abel วัย 23 ปี สำเร็จการศึกษาจากมหาวิทยาลัย และได้เข้าพิธีสมรสกับ Christine Kemp ผู้มีอาชีพเป็นครูสอนเด็กตามบ้านเศรษฐี และเมื่อ Abel ตระหนักได้ว่าชีวิตในนอร์เวย์ของสองสามี-ภรรยาไม่มีทางก้าวหน้า จึงขอทุนรัฐบาลไปเรียนต่อที่มหาวิทยาลัย Berlin ในเยอรมนี ณ ที่นั่น Abel ได้พบกับวิศวกรชื่อ August Leopold Crelle ผู้มีอิทธิพลและร่ำรวยมาก Crelle เป็นคนที่สนใจคณิตศาสตร์มากเมื่อได้ยินกิตติศัพท์ของ Abel Crelle จึงได้รู้จักและเป็นเพื่อนกับ Abel และเมื่อ Crelle ต้องการจัดพิมพ์วารสารคณิตศาสตร์ จึงขอให้ Abel ช่วยเขียนบทความวิจัยให้หนึ่งเรื่อง และ Abel ก็ได้เขียนรายงานการวิจัยเรื่องสมการกำลัง 5
ในปี ค.ศ. 1825 ผลงานของ Abel ได้ในปี ค.ศ. 1825 ผลงานของ Abel ได้รับการตีพิมพ์ในวารสาร Journal for Pure and Applied Mathematics (หรือที่รู้จักกันทั่วไปในนาม Crelle’s Journal) ซึ่งได้กลายเป็นวารสารคณิตศาสตร์ชั้นนำของโลกในเวลาต่อมา
ถึงต้นปี ค.ศ. 1826 Abel ได้เดินทางไปปารีส เพื่อเสนอผลงานวิจัยเรื่อง Abel’s Theorem ต่อสถาบัน French Academy แต่ผลงานถูกบรรณาธิการวารสารของ French Academy ปฏิเสธรับลงตีพิมพ์ เพราะผู้ประเมินคุณภาพของบทความมีความเห็นว่าอ่านแล้วไม่เข้าใจ Abel รู้สึกเสียใจต่อคำวิพากษ์มาก จึงเดินทางกลับออสโล ในเดือนพฤษภาคม ค.ศ. 1827 ทั้ง ๆ ที่ ณ ที่นั่นไม่มีงานอะไรให้ทำ และตนเองมีหนี้สินมาก เพราะได้ยืมเงินจากเพื่อนฝูงเป็นค่าเดินทาง จึงไปหางานทำโดยรับจ้างเป็นครูแทน ในยามที่ครูประจำของโรงเรียนลาพักผ่อน และสอนพิเศษ
ในช่วงฤดูหนาวที่อากาศกำลังหนาวจัด จนการเดินทางไปต่างประเทศ เป็นเรื่องที่ Abel ไม่สามารถจะทำได้ แม้แต่เส้นทางการเดินทางในประเทศหลายครั้งก็ติดขัด Abel จึงมีสภาพเหมือนถูกตัดขาดจากโลกภายนอก และไม่รู้แม้แต่น้อยว่า ในขณะนั้นวงการคณิตศาสตร์ได้เริ่มสนใจผลงานของ Abel ที่ลงในวารสาร Crelle’s Journal แล้ว และกำลังตื่นตัวรับความรู้ใหม่ ๆ ที่ Abel จะนำเสนอ
ในปี ค.ศ.1828 Abel ได้ล้มป่วยเป็นวัณโรค ซึ่งสมัยนั้นเป็นโรคที่รักษาไม่หาย ความเป็นอยู่ที่ลำบากและฐานะที่ยากจนทำให้สุขภาพของ Abel ทรุดหนักในเวลาไม่นาน และในช่วงเวลาเดียวกัน Crelle เพื่อนรักของ Abel ก็กำลังติดต่อหางานเป็นอาจารย์ในมหาวิทยาลัยให้ Abel ทำแต่ไม่ได้ผล
เมื่อใกล้จะถึงวันคริสต์มาส Abel ได้พยายามเดินทางไกลไปพบกับภรรยา หลังจากที่ต้องแยกกันอยู่ เพราะกลัวภรรยาจะป่วยเป็นวัณโรค ความหนาวที่ทารุณได้ทำให้ Abel เจ็บหนักจนรู้ตัวว่าใกล้จะเสียชีวิตแล้ว
เมื่อถึงวันที่ 6 เมษายน ค.ศ.1829 Abel ก็เสียชีวิต ศพถูกนำไปฝังที่ Froland ท่ามกลางพายุหิมะที่กำลังพัดรุนแรง
สองวันหลังจากที่ Abel จากโลกไป จดหมายจาก Crelle ก็ได้มาถึงที่พักของ Abel เพื่อแจ้งว่า มหาวิทยาลัย Berlin ในเยอรมนี ได้รับ Abel เข้าทำงานแล้ว และในเวลาต่อมาเมื่อทราบข่าวเสียชีวิตของ Abel นักปรัชญา Crelle ได้เขียนคำสรรเสริญ Abel ว่า เพื่อนรักของเขาคนนี้ เป็นอัจฉริยะนักคณิตศาสตร์ที่มีจิตใจบริสุทธิ์ยิ่ง และเป็นคนถ่อมตัวมากจนหาคนเทียบเคียงได้ยาก
ในปี ค.ศ.1830 สถาบัน French Academy ได้มอบรางวัล Grand Prix ด้านการวิจัยคณิตศาสตร์แก่ Abel หลังจากที่ได้เสียชีวิตไปแล้ว ในฐานะผู้มีผลงานวิจัยที่มีคุณค่า และสำคัญมาก
ทุกวันนี้วงการคณิตศาสตร์รู้จัก Abel’s theorem, Abel transform, Abelian group, Abel's equation, Abel’s inequality ฯลฯ
ในหนังสือ Abel’s Proof: An Essay on the Sources and Meaning of Mathematical Unsolvability โดย Peter Pesic ที่จัดพิมพ์โดย The MIT Press ในปี ค.ศ. 2003 Pesic ได้กล่าวถึงที่มาของวิธีที่ Abel ใช้ในการพิสูจน์ทฤษฎีของเขาว่า "นับเป็นเวลานานแล้วที่ ใคร ๆ ก็คิดว่า ตามปกตินักเรขาคณิตจะฉลาดกว่านักพีชคณิต แต่อัจฉริยะ เช่น Evariste Galois และ Niels Abel ฯลฯ ก็ได้พิสูจน์ให้เห็นว่า พีชคณิตก็ยากไม่แพ้เรขาคณิต"
ประวัติศาสตร์ได้กล่าวถึงนักคณิตศาสตร์อาหรับในยุคกลางว่า ได้เคยศึกษาสมการกำลัง n
anxn + an-1xn-1 + an-2xn-2 + … + a0 = 0
เมื่อ an an-1 … a0 เป็นจำนวนที่รู้ค่า และ x เป็นจำนวนที่ไม่ทราบค่า สมการนี้จึงเป็นสมการกำลัง n
ในสมัยกรีกโบราณ นักคณิตศาสตร์ได้ศึกษากรณี n = 1
นั่นคือ สมการอยู่ในรูป a1x + a0 = 0
ซึ่งมีคำตอบ คือ x = -a0/a1
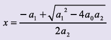
และถ้า n = 2 สมการกำลังสอง จะอยู่ในรูป
a2x2 + a1x + a0 = 0
ซึ่งมีคำตอบสำหรับ x สองค่า คือ
และ 
ส่วนในกรณีที่ n = 3, 4, 5, … ก็มีชื่อเรียกว่า สมการกำลัง 3, 4 และ 5 ตามลำดับ
ในราว ค.ศ.1200 เมื่อคณิตศาสตร์ของชาวอาหรับได้แพร่เข้าสู่อิตาลี นักคณิตศาสตร์อิตาลีจึงได้พยายามหาคำตอบสำเร็จรูปของสมการกำลัง 3 จาก a3x3 + a2x2 + a1x + a0 = 0 และสมการกำลัง 4 จาก a4x4 + a3x3 + a2x2 + a1x + a0 = 0 แต่ก็ไม่มีใครทำได้ จนกระทั่งถึงคริสต์ศตวรรษที่ 16 เมื่อ Niccolo Tartaglia สามารถแก้สมการ a3x3 + a2x2 + a0 = 0 และ สมการ a3x3 + a1x + a0 = 0 ได้
และในเวลาต่อมา Giordano Cardano ได้นำเทคนิคของ Tartaglia ในการแก้สมการกำลังสาม จนได้สูตรสำเร็จ ซึ่งเป็นคำตอบที่ยุ่งและซับซ้อนมาก
สำหรับสมการกำลังสี่ a4x4 + a3x3 + a2x2 + a1x + a0 = 0 นั้น Lodovico Ferrari ก็ประสบความสำเร็จในการถอดหาค่า x ได้เช่นกัน
เมื่อสมการกำลัง 3 และ 4 มีคำตอบ นักคณิตศาสตร์ทุกคนในสมัยนั้น จึงมีความหวังว่า สมการกำลัง 5 ก็น่าจะมีคำตอบที่เป็นสูตรสำหรับ x ด้วย จึงได้เพียรพยายามหาสูตรมาเป็นเวลานาน ในทำนองเดียวกับที่นักโบราณคดีได้พยายามหา “จอกศักดิ์สิทธิ์ของพระเยซู” ซึ่งถ้าใครพบ ชื่อของเขาก็จะดัง และยิ่งใหญ่เป็นอมตะนิรันดร์กาล
ในที่สุด Abel ก็เป็นบุคคลแรกที่สามารถแสดงได้ว่า คำตอบที่เป็นสูตรสำเร็จของ x สำหรับสมการตั้งแต่กำลัง 5 ขึ้นไป คือ 5, 6, 7, 8,... ไม่มี โดยใช้หลักการของ finite group theory
ดังนั้นในสายตาของทุกคน Abel จึงเป็นนักคณิตศาสตร์ผู้อาภัพ เพราะไม่ได้รับการยกย่องในยามมีชีวิตอยู่ และในที่สุดความยากจนก็ได้ทำ Abel ล้มป่วย จนต้องเสียชีวิต
หนังสือ Abel’s Proof ได้เล่าประวัติของอัจฉริยะอาภัพคนหนึ่งซึ่งมีชีวิตทำงานที่ค่อนข้างสั้นมาก แต่ชื่อเสียงก็ยังปรากฏมาจนทุกวันนี้ และจะตลอดไป เพราะที่กรุงออสโลในนอร์เวย์มีอนุสาวรีย์ของ Niels Henrik Abel บนดวงจันทร์มีหลุมอุกกาบาตชื่อ Abel ในปี ค.ศ. 2002 รัฐบาลนอร์เวย์ได้จัดตั้งรางวัล Abel สำหรับนักคณิตศาสตร์รุ่นเยาว์ผู้มีผลงานโดดเด่นที่สุดของโลก และในวันที่ 6 เมษายน ค.ศ. 1926 รัฐบาลนอร์เวย์ได้ออกแสตมป์เป็นที่ระลึกในโอกาสครบรอบ 100 ปี แห่งการเสียชีวิตของ Abel รวมถึงได้ออกเหรียญ 20 Kroner เพื่อเป็นเกียรติแก่นักคณิตศาสตร์ผู้มีชื่อเสียงที่สุดของนอร์เวย์ด้วย
บทความนี้เป็นส่วนหนึ่งของนิตยสาร สสวท. ปีที่ 41 ฉบับที่ 183 กรกฎาคม - สิงหาคม 2556
ผู้อ่านสามารถติดตามบทความที่น่าสนใจเพิ่มเติมได้ที่ https://emagazine.ipst.ac.th/
บรรณานุกรม
Livio, Mario. (2005). The Equation That Couldn't be Solved.New York: Simon and Schuster.
-
คำที่เกี่ยวข้อง
